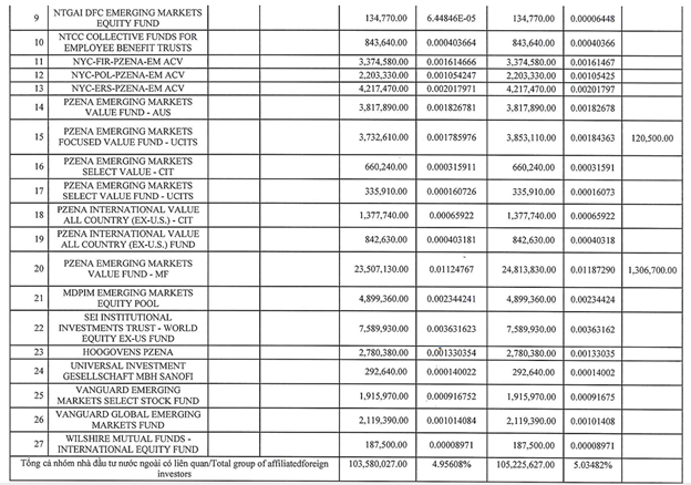
Ngày 20/4, một nhóm nhà đầu tư nước ngoài do Pzena Investment Management đại diện đã chính thức báo cáo trở thành cổ đông “ôm” 5% vốn tại Vinamilk.
Danh sách nhà đầu tư nhóm này không hề “xoàng”: toàn các tên tuổi như Fidelity Investments, Mercer, Barclays, Brown Advisory… với tổng cộng 27 tổ chức tài chính đứng chung một “team”.
Trước giao dịch nhóm đang sở hữu hơn 103,6 triệu cp (tương đương 4,96%). Sau giao dịch số cổ phần được nâng lên 105,2 triệu cp (>5%), tức là đã mua thêm hơn 1,7 triệu cổ phiếu. Ngày giao dịch 10/4.

Đáng chú ý, nhóm này mua vào đúng thời điểm cổ phiếu VNM vẫn đang quanh vùng giá thấp. Kết thúc phiên 21/4, VNM đóng cửa ở mức 61.600 đồng/cổ phiếu, dù đã hồi lên đáng kể so với đáy khoảng 58.000 đồng ghi nhận đầu tháng 3 nhưng vẫn còn cách khá xa vùng đỉnh 75.000 đồng thiết lập hồi đầu năm.
Tạm tính quanh giá ~61.600 đồng/cp, số tiền nhóm này bỏ ra để gom thêm 1,7 triệu cổ phiếu VNM rơi vào khoảng 100+ tỷ đồng.
📤 Một bên âm thầm mua… một bên lại muốn rút
Trong khi nhóm quỹ của Pzena đang gom, thì một cái tên quen thuộc khác lại làm điều ngược lại: Platinum Victory
- Đăng ký bán 52,55 triệu cổ phiếu (~2,51%)
- Thời gian: 13/4 – 12/5
Nhưng plot twist là: Lần trước đăng ký bán… không bán được cổ nào. Lý do vẫn quen thuộc: “thị trường không thuận lợi”
Nghe câu này xong mình chỉ nghĩ: Không phải không muốn bán, mà là… chưa bán được giá 😶
Về kết quả kinh doanh, năm 2025, Vinamilk ghi nhận 63.724 tỷ đồng doanh thu (đỉnh nhiều năm). Tuy nhiên, lợi nhuận sau thuế lại giảm nhẹ xuống còn 9.414 tỷ.
Kế hoạch 2026 đặt mục tiêu doanh thu 66.477 tỷ đồng và lợi nhuận 9.828 tỷ.
Bạn thấy đấy, tăng trưởng có, nhưng không phải kiểu “wow”. Tuy nhiên, điểm sáng lớn nhất vẫn là: Cổ tức tiền mặt dự kiến chi trả tối thiểu 50% lợi nhuận.
Vậy rốt cuộc câu chuyện là gì?
Ngồi đọc lại case Vinamilk, mình thấy có mấy ý khá “lộ” ra nếu để ý kỹ một chút.
Ý đầu tiên là tiền ngoại không mua kiểu hô hào FOMO. Họ thường xuất hiện đúng lúc thị trường bắt đầu… lơ đẹp cổ phiếu đó. Khi mọi người chán, họ mới từ từ nhặt.
Ý thứ hai là ngay trong khối ngoại cũng không hề “đồng lòng”. Có người mua thêm, có người lại muốn rút sạch. Nên câu chuyện “ngoại luôn đúng” nghe cho vui thôi, chứ thực tế cũng có phe này phe kia như ai.
Ý thứ ba mới là cái đáng suy nghĩ nhất. VNM đang ở trạng thái rất lửng lơ, kiểu “value thật hay value trap?”. Một bên là cổ tức đều, thương hiệu mạnh, tiền mặt ngon. Một bên là tăng trưởng không còn bốc như ngày xưa. Nghe xong thấy giống kiểu người yêu cũ: ổn định nhưng thiếu cảm xúc.
Cảm nhận cá nhân thì mình thấy đây đúng là một ván cờ. Cùng một thời điểm mà có hai dòng tiền đi ngược nhau hoàn toàn. Một bên âm thầm gom thêm, nhìn dài hạn. Một bên lại muốn rút vốn, tối ưu danh mục cho gọn nhẹ.
Còn nhà đầu tư nhỏ lẻ như tụi mình thì quen cảnh đứng giữa rồi. Nếu ai đang cầm VNM mà giá chưa về bờ thì chắc cũng đang ở trạng thái rất quen thuộc: không bán thì sợ giảm thêm, bán xong lại sợ nó chạy.
Tóm lại, khi một cổ phiếu bị chê “chán”, đôi khi đó lại là lúc dòng tiền thông minh bắt đầu kiên nhẫn nhặt từng chút một.
Còn đó là cơ hội hay cái bẫy… thì thôi, để thị trường trả lời sau vậy 😄