Nói không phải ngoa, chỉ nhìn dẫy số trái phiếu mà doanh nghiệp báo cáo thôi, nhiều member phải “há mồm”: một năm chi trả dày đặc, hàng nghìn tỷ đồng bay khỏi két để trả gốc lẫn lãi.
Năm “căng mình” trả trái phiếu
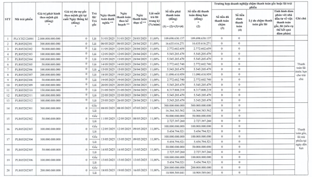
📅 Kỳ báo cáo tính từ 01/01/2025 đến 31/12/2025 (chốt số ngày 31/12/2025), và bức tranh hiện ra là… trả nợ không ngơi tay.
Trong năm 2025, Phú Long đã:
- Chi hàng trăm tỷ trả lãi trước hạn cho 13 lô trái phiếu gồm PLCCH2124001 và nhóm PLR05202301 – PLR05202312, lãi suất 11%/năm.
- Ngoài ra, nhóm phát hành năm 2023 (PLRL2023013, 2023014, 2023015) hưởng lãi 10,5%/năm cũng được thanh toán đúng kỳ.
Những con số đáng chú ý:
💰 Lô PLCCH2124001 quy mô 2.000 tỷ đồng được trả lãi kỳ 31/03/2025 gần 109,7 tỷ đồng.
💰 Loạt PLR052023 (50 – 300 tỷ đồng/lô) được trả lãi trong tháng 5/2025, mỗi kỳ từ 2,7 tỷ đến hơn 16,6 tỷ đồng.
💰 Nhóm PLRL2023013 – 2023015 (tổng 1.200 tỷ đồng) trả lãi tháng 8/2025, mỗi lô hàng chục tỷ đồng.
Chưa hết, doanh nghiệp còn chi hơn 1.700 tỷ đồng thanh toán gốc và lãi đến hạn cho các lô PLR05202301 – PLR05202315.
- 300 tỷ đồng cho PLR05202301
- 50 tỷ đồng cho PLR05202302
- 100 tỷ đồng cho các mã PLR05202303, 04, 06
- 200 tỷ đồng cho PLR05202307
- 400 – 300 – 500 tỷ đồng tương ứng với PLRL2023013, 2023014, 2023015
Nói ngắn gọn: năm 2025 là một “marathon trả nợ” thực sự.

Tuy vậy, áp lực vẫn còn phía trước. Tại thời điểm cuối năm 2025, lô PLCCH2124001 (2.000 tỷ đồng) tiếp tục được theo dõi cho kỳ thanh toán tiếp theo vào 31/03/2026. Tức là guồng quay trái phiếu vẫn chưa dừng lại.
Địa ốc Phú Long là ai?
Thành lập năm 2007, Phú Long là doanh nghiệp phát triển bất động sản tư nhân, gắn với hệ sinh thái Sovico Holdings của nữ tỷ phú Nguyễn Thị Phương Thảo.
Tại TP.HCM, doanh nghiệp phát triển các dự án như Dragon City (Nam Sài Gòn), Dragon Village (TP. Thủ Đức) và Celesta (Nhà Bè).
Ở Hà Nội, Phú Long là chủ đầu tư Mailand Hanoi City (còn được biết đến là khu đô thị Splendora Bắc An Khánh trước đây) phía Tây Thủ đô. Chủ đầu tư ban đầu là Liên doanh Công ty TNHH Phát triển Đô thị mới An Khánh – liên doanh giữa các công ty như Vinaconex và Posco (Hàn Quốc) khi dự án bắt đầu.
Sau đó, Posco E&C đã chuyển nhượng phần vốn cho Địa ốc Phú Long – thành viên thuộc Sovico Holdings.
Theo báo cáo tài chính bán niên 2025:
- Lợi nhuận sau thuế 6 tháng đầu năm đạt hơn 877 tỷ đồng, tăng gần 21,5% so với cùng kỳ.
- ROE cải thiện từ 3,5% lên 4,3%.
- Vốn chủ sở hữu đạt 20.671 tỷ đồng tại 30/06/2025.
- Hệ số nợ/vốn chủ sở hữu giảm từ 3,19 lần xuống còn 2,57 lần.
Góc nhìn cá nhân:
Nhìn vào bức tranh tổng thể, có thể thấy 2025 đúng là năm Phú Long “dốc két” để xử lý nghĩa vụ trái phiếu, nhưng ở một góc khác, đây cũng là phép thử về sức bền tài chính của doanh nghiệp.
Việc chi trả đầy đủ, đúng hạn (thậm chí mua lại trước hạn) trong bối cảnh thị trường vốn còn nhiều biến động cho thấy doanh nghiệp vẫn đang giữ được dòng tiền và khả năng xoay xở. Con số lợi nhuận hơn 877 tỷ đồng sau 6 tháng, vốn chủ sở hữu trên 20.600 tỷ đồng và hệ số nợ/vốn chủ giảm về 2,57 lần là những chỉ dấu cho thấy áp lực đòn bẩy đang được hạ nhiệt dần.
Tuy nhiên, “marathon trả nợ” chưa kết thúc. Lô 2.000 tỷ đồng PLCCH2124001 vẫn đang chờ kỳ thanh toán tiếp theo vào tháng 3/2026, đồng nghĩa với việc bài toán dòng tiền, bán hàng và triển khai dự án trong năm tới sẽ tiếp tục là yếu tố sống còn.
Trong bối cảnh thị trường địa ốc dần ấm lại nhưng chưa thực sự bùng nổ, câu chuyện của Phú Long không chỉ là chuyện trả nợ, mà là bài kiểm tra về năng lực cân bằng giữa tăng trưởng và an toàn tài chính.
Với nhà đầu tư trái phiếu và cả những người theo dõi hệ sinh thái bất động sản tư nhân, 2026 sẽ là năm đáng quan sát: doanh nghiệp có tiếp tục duy trì nhịp “trả nợ đều tay” và cải thiện đòn bẩy, hay sẽ bước vào một chu kỳ vốn mới?
Quan điểm của bạn về việc này thế nao?